
Gp España F1 2019 Resultados Libres 3 Del Gran Premio De
How To 12 Proof By Induction 132333n3 Nn122 N2n124 Prove
Solved Problem 3 A Find A Formula For 12 2334 Nn 1
Mathematical Induction Prove That 13 23 33 N3 N2 N12 4
Proof Of 1222cdotsn2n33n22n6 Mathematics
View Teaching Guide Teach Together Community For Shs
1 1 2 3 2 2n 1 2n 1 2n 1 N 3 Proof By Mathematical Induction
Sum To N Terms Of Special Series Study Material For Iit
How To Derive N1 2 From 123n N Quora
Solved Problem 3 A Find A Formula For 233 4 N N1 We H
Establish A Formula For 1 141 191 1n2
Principiul Inductiei Matematice
Sum To N Terms Of Special Series Study Material For Iit
If 9 N 3 2 3 N 27 N 1 Find The Value Of N 3 3 5 2 3 27
Ex 74 2 Determine N If I 2nc3 Nc3 12 1 Chapter 7
Proof Of Finite Arithmetic Series Formula By Induction
Number Sequences Lecture 7 Sep 27 Chapter 41 Of The Book
Is This Modern Programming Interview Challenges Solution
How To Prove 123n Termsnn1 2 Quora
22 Some Summation Formulas
Key Concepts In Computer Science Assignment 10 All Test
Series Y Sumatorias Completo
Solved Question 4 14 Pts The Formula Nn1 123n
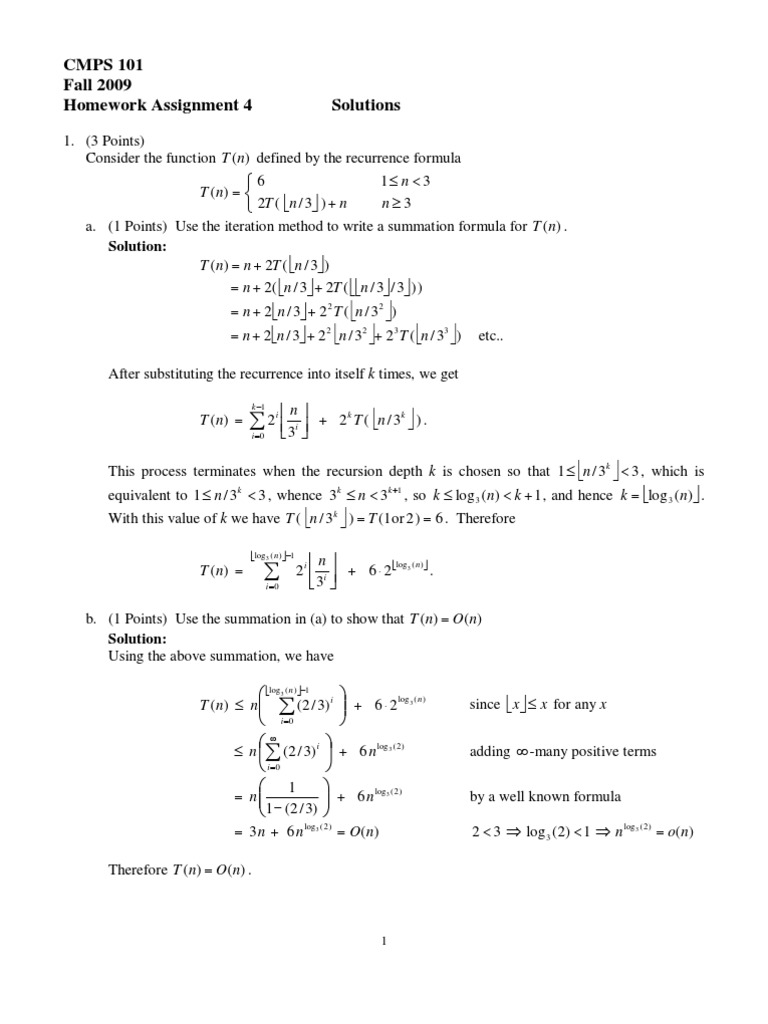
Hw3solns Solutions To Homework 3 Cmps 101 Ucsc Studocu
Solved 7 33 Points Previous Answershunterdmz 32006
1 Existe Una Fórmula Para Calcular La Suma 149 N
Example 3 Let Sequence Be A1 1 An An 1 2 Examples
P N 1 3 3 2 3 N 1 3 N 1 2 If P K Is True Prove P K 1 Is True
Faulhabers Formula Wikipedia
Factorials To Binomial Theorem
Pdf Ejercicios 7 8 16 17 18 Resueltos César Dark
70 Caipiitiuilo Lio Iiiniioiijjcciioini Malemjmuca
Solved Problem 2 1 Show That For Any Positive Integer N
Intro To Arithmetic Sequence Formulas Algebra Article
Expresiones Algebraicas Y Ecuaciones Lineales Monografiascom
Hallar El Valor De N Para Que El Numero De Divisores De N
Solved 7 123 Points Previous Answershunterdmz 32006
Sucesiones Numéricas Matemáticas En Ifpg Wiki Fandom
Proof For Formula For Sum Of Sequence 123ldotsn
Capítulo 10 Relaciones De Recurrencia Matematicas
132333n3 And Its Geometry
A 4 Isopropil 2557 Tetrametilnonano B 568 Trietil 6
Función Minversa Soporte De Office
For Any Positive Integer Mn With Ngeqm Let Nm
Apuntes Matematicas Docsity
Matemática 4to Año By Santillana Venezuela Issuu
Quadratic Sequences Number Patterns Siyavula
Arithmetic Sequence Formula For The Nth Term Of An
Arithmetic Sequence Formula Chilimath
Analisis N Primos 1 Matemática
Cual Es El Próximo Numero En La Sucesión 2 3 6 15 42
Important Formulas And Concepts Apgp Icse Math Notes
Gp España F1 2019 Resultados Libres 3 Del Gran Premio De
Structural Formula Of Imazapyr C 13 H 15 N 3 O 3
Sequences As Functions Explicit Form Mathbitsnotebooka1
Cs 103 Discrete Structures Lecture 13 Induction And
Chapter 001 Solucionario Kellison Matemáticas Financieras
Ar 065031 A1 Combinaciones Sinergicas De Compuestos
Factorial Summation Formula 0601230057
Pdf Formulae Thomas Mcclure Academiaedu
Effect Of Dl 3 N Butylphthalide On Infarction Volume In
Fibonacci Numbers Part Ii
Show That 313xx919xx27127 To Infinity 334
Apuntes Sobre Las Ecuaciones Lineales Docsity
Table 3 From The Turkish Primary Students Understanding Of
Progresión Aritmética Trucos Fórmulas Y Ejercicios Resueltos
Expresiones Algebraicas Y Ecuaciones Lineales Monografiascom
Pascals Triangle And Induction1pdf
4 1 3 3 Configuring The Datalizer Summation Settings
Python Challenges 1 Exercises Practice Solution
Foro De Preguntas Y Respuestas De Matemáticas Unicooscom
Quadratic Sequences Number Patterns Siyavula
Pdf De Programación Cortes De Progresiones Aritmétricas En
El Filtrado Glomerular Reducido Según Las Fórmulas De
N33 Trimethyl 2 Oxobutanamide C7h13no2 Density Melting
2r3s 2 Ethyl 1 N1 N3 N3 N Tetramethylhexane 13 Diamine
N 3 2 Math Math 3 2 Mathxl For School Practice And
1 If 5n2625 F I N Dn313 2 If 32243n8
Unidad 3 Ecuación Cuadrática
Sumatoria O Notación Sigma
Example 15 Find Sum Of First 24 Terms An 3 2n Examples
Hw4solns Mathematical Logic Discrete Mathematics
Q3 Determine Whether The Following Points Are Collinear 1
Una Matricial En Excel Para Sumar Referencias Cruzadas
233 Trimethylbut 1 Ene Sielc
NEXT PAGE:
あれは 最高 132333n3 Formula
あれは 最高 132333n3 Formula, うまくいけば's 便利であなたはそれが好き.
あなたは読んでいる 最高 132333n3 Formula,URLアドレス: https://kolaneta.blogspot.com/2020/04/132333n3-formula.html
0 件のコメント:
コメントを投稿